CAVITATION AND BUBBLE DYNAMICS
by   Christopher Earls Brennen   © Oxford University Press 1995
CHAPTER 4.
DYNAMICS OF OSCILLATING BUBBLES
4.1 INTRODUCTION
The focus of the two preceding chapters was on the dynamics of the growth and collapse of a single bubble experiencing one period of tension. In this chapter we review the response of a bubble to a continuous, oscillating pressure field. Much of the material comes within the scope of acoustic cavitation, a subject with an extensive literature that is reviewed in more detail elsewhere (Flynn 1964; Neppiras 1980; Plesset and Prosperetti 1977; Prosperetti 1982, 1984; Crum 1979; Young 1989). We include here a brief summary of the basic phenomena.
One useful classification of the subject uses the magnitude of the bubble radius oscillations in response to the imposed fluctuating pressure field. Three regimes can be identified:
- For very small pressure amplitudes the response is linear. Section 4.2 contains the first step in any linear analysis, the identification of the natural frequency of an oscillating bubble.
 - Due to the nonlinearities in the governing equations, particularly the Rayleigh-Plesset Equation 2.12, the response of a bubble will begin to be affected by these nonlinearities as the amplitude of oscillation is increased. Nevertheless the bubble may continue to oscillate stably. Such circumstances are referred to as ``stable acoustic cavitation'' to distinguish them from those of the third regime described below. Several different nonlinear phenomena can affect stable acoustic cavitation in important ways. Among these are the production of subharmonics, the phenomenon of rectified diffusion, and the generation of Bjerknes forces. Each of these is described in greater detail later in the chapter.
 - Under other circumstances the change in bubble size during a single cycle of oscillation can become so large that the bubble undergoes a cycle of explosive cavitation growth and violent collapse similar to that described in the preceding chapter. Such a response is termed ``transient acoustic cavitation'' and is distinguished from stable acoustic cavitation by the fact that the bubble radius changes by several orders of magnitude during each cycle.
 Though we imply that these three situations follow with increasing amplitude, it is important to note that other factors are important in determining the kind of response that will occur for a given oscillating pressure field. One of the factors is the relationship between the frequency, ω, of the imposed oscillations and the natural frequency, ωN, of the bubble. Sometimes this is characterized by the relationship between the equilibrium radius of the bubble, RE, in the absence of pressure oscillations and the size of the hypothetical bubble, RR, which would resonate at the imposed frequency, ω. Another important factor in determining whether the response is stable or transient is the relationship between the pressure oscillation amplitude,
, and the mean pressure,
∞. For example, if
<
∞, the bubble is never placed under tension and will therefore never cavitate. A related factor that will affect the response is whether the bubble is predominantly vapor-filled or gas-filled. Stable oscillations are more likely with predominantly gas-filled bubbles while bubbles which contain mostly vapor will more readily exhibit transient acoustic cavitation.
We begin, however, with a discussion of the small-amplitude, linear response of a bubble to oscillations in the ambient pressure.
4.2 BUBBLE NATURAL FREQUENCIES
The response of a bubble to oscillations in the pressure at infinity will now be considered. Initially we shall neglect thermal effects and the influence of liquid compressibility. As discussed in the next section both of these lead to an increase in the damping above that represented by the viscous terms, which are retained. However, both can be approximately represented by increases in the damping or the ``effective'' viscosity.
Consider the linearized dynamic solution of Equation 2.27 when the pressure at infinity consists of a mean value,
∞, upon which is superimposed a small oscillatory pressure of amplitude,
, and radian frequency, ω, so that
The linear dynamic response of the bubble will then be
......(4.1) where RE is the equilibrium size at the pressure,
......(4.2) ∞, and the bubble radius response,
, will in general be a complex number such that RE|
| is the amplitude of the bubble radius oscillations. The phase of
represents the phase difference between p∞ and R.
For the present we shall assume that the mass of gas in the bubble, mG, remains constant. Then substituting Equations 4.1 and 4.2 into Equation 2.27, neglecting all terms of order |
|2 and using the equilibrium condition 2.41 one finds
where, as before,
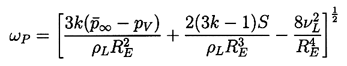
......(4.3) It follows that for a given amplitude,
......(4.4) , the maximum or peak response amplitude occurs at a frequency, ωP, given by the minimum value of the spectral radius of the left-hand side of Equation 4.3:
or in terms of (
......(4.5) ∞-pV) rather than pGE:
At this peak frequency the amplitude of the response is, of course, inversely proportional to the damping:
......(4.6) 
......(4.7) It is also convenient for future purposes to define the natural frequency, ωN, of oscillation of the bubbles as the value of ωP for zero damping:
The connection with the stability criterion of Section 2.5 is clear when one observes that no natural frequency exists for tensions (pV-
......(4.8) ∞)>4S/3RE (for isothermal gas behavior, k=1); stable oscillations can only occur about a stable equilibrium.
The peak frequency, ωP, is an important quantity to consider in any bubble dynamic problem. Note from Equation 4.6 that ωP is a function only of (
∞-pV), RE, and the liquid properties. Typical graphs for ωP as a function of RE for several (
∞-pV) values are shown in Figures 4.1 and 4.2 for water at 300°K (S=0.0717, μL=0.000863, ρL=996.3) and for sodium at 800°K (S=0.15, μL=0.000229, ρL=825.8). As is evident from Equation 4.6, the second and third terms on the right-hand side dominate at very small RE and the frequency is almost independent of (
∞-pV). Indeed, no peak frequency exists below a size equal to about 2νL2ρL/S. For larger bubbles the viscous term becomes negligible and ωP depends on (
∞-pV). If the latter is positive, the natural frequency approaches zero like RE-1. In the case of tension, pV>
∞, the peak frequency does not exist above RE=RC.
![]()
Figure 4.1 Bubble resonant frequency in water at 300°K (S=0.0717, μL=0.000863, ρL=996.3) as a function of the radius of the bubble for various values of ( ∞-pV) as indicated.
![]()
Figure 4.2 Bubble resonant frequency in sodium at 800°K (S=0.15, μL=0.00023, ρL=825.8) as a function of the radius of the bubble for various values of ( ∞-pV) as indicated.
It is important to take note of the fact that for the typical nuclei commonly found in water, which lie in range 1 to 100μm, the natural frequencies are of the order, 5 to 25kHz. This has several important practical consequences. First, if one wishes to cause cavitation in water by means of an acoustic pressure field, then the frequencies that will be most effective in producing a substantial concentration of large cavitation bubbles will be in this frequency range. This is also the frequency range employed in magnetostrictive devices used to oscillate solid material samples in water (or other liquid) in order to test the susceptibility of that material to cavitation damage (Knapp et al. 1970). Of course, the oscillation of the nuclei produced in this way will be highly nonlinear; nevertheless, the peak response frequency will be less than but not radically different from the peak response frequency for small linear oscillations.
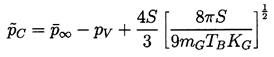
It is also important to note that, like any oscillator, a nucleus excited at its resonant frequency, ωP, will exhibit a response whose amplitude is primarily a function of the damping. Since the viscous damping is rather small in many practical circumstances, the amplitude given by Equation 4.7 can be very large due to the factor μL in the denominator. It could be heuristically argued that this might cause the nucleus to exceed its critical size, RC (see Section 2.5), and that highly nonlinear behavior with very large amplitudes would result. The pressure amplitude,
C, required to achieve RE|
|=RC-RE can be readily evaluated from Equation 4.7 and the results of the last section:
and in many circumstances this is approximately equal to 4μLωN. For a 10μm nuclei in water at 300°K for which the natural frequency is about 10kHz this critical pressure amplitude is only 0.002bar. Consequently, a nucleus could readily be oscillated in a way that would cause it to exceed the Blake critical radius and therefore proceed to explosive cavitation growth. Of course, nonlinear effects may substantially alter the estimate given in Equation 4.9. Further comment on this and other critical or threshold oscillating pressure levels is delayed until Sections 4.8 and 4.9.
......(4.9) 
4.3 EFFECTIVE POLYTROPIC CONSTANT
At this juncture it is appropriate to discuss the validity of the assumption that the gas in the bubble behaves polytropically according to Equation 2.26. For the circumstances of bubble growth and collapse considered in Chapter 2 the polytropic assumption is usually considered acceptable for the following reasons. First, during the growth of a vapor bubble the gas plays a relatively minor role, and the preponderance of vapor will tend to determine the bubble temperature. Second, during the later stages of collapse when the gas predominates, the velocities are so high that an adiabatic assumption, k=γ, seems appropriate. Since a collapsing bubble loses its spherical symmetry, the resulting internal motions of the gas would, in any case, generate mixing, which would tend to negate any more sophisicated model based on spherical symmetry.
The issue of the appropriate polytropic constant is directly coupled with the evaluation of the effective thermal damping of the bubble and was first addressed by Pfriem (1940), Devin (1959), and Chapman and Plesset (1971). Prosperettti (1977b) analysed the problem in detail with particular attention to thermal diffusion in the gas and predicted the effective polytropic exponents shown in Figure 4.3. In that figure the effective polytropic exponent is plotted against a reduced frequency, ωRE2/αG, for various values of a nondimensional thermal diffusivity in the gas, αG*, defined by
where αG and cG are the thermal diffusivity and speed of sound in the gas. Note that for low frequencies (at which there is sufficient time for thermal diffusion) the behavior tends to become isothermal with k=1. On the other hand, at higher frequencies (at which there is insufficient time for heat transfer) the behavior initially tends to become isentropic (k=γ). At still higher frequencies the mean free path in the gas becomes comparable with the bubble size, and the exponent can take on values outside the range 1<k<γ (see Plesset and Prosperetti 1977). Crum (1983) has made measurements of the effective polytropic exponent for bubbles of various gases in water. Figure 4.4 shows typical experimental data for air bubbles in water. The results are consistent with the theory for frequencies below the resonant frequency.
......(4.10) 
Figure 4.3 Effective polytropic exponent, k, for a diatomic gas (γ=1.4) as a function of a reduced frequency, ωRE2/αG, for various values of a reduced thermal diffusivity of the gas, αG* (see text). Adapted from Prosperetti (1977b).
Figure 4.4 Experimentally measured polytropic exponents, k, for air bubbles in water as a function of the bubble radius to resonant bubble radius ratio. The solid line is the theoretical result. Adapted from Crum (1983).Prosperetti, Crum, and Commander (1988) summarize the current understanding of the theory in which
where the complex function,
......(4.11) , is given by
where χ=αG/ωRE2. As we shall discuss in the next section, this analysis also predicts an effective thermal damping that is related to Im{
......(4.12) }.
While the use of an effective polytropic exponent (and the associated thermal damping given by Equation 4.15) provides a consistent approach for linear oscillations, Prosperetti, Crum, and Commander (1988) have shown that it may cause significant errors when the oscillations become nonlinear. Under these circumstances the behavior of the gas may depart from that which is consistent with an effective polytropic exponent, and there seems to be no option but to numerically solve the detailed mass, momentum, and energy equations in the interior of the bubble.
Chapman and Plesset (1971) have presented a useful summary of the three primary contributions to the damping of bubble oscillations, namely that due to liquid viscosity, that due to liquid compressibility through acoustic radiation, and that due to thermal conductivity. It is particularly convenient to represent the three components of damping as three additive contributions to an effective liquid viscosity, μE, which can then be employed in the Rayleigh-Plesset equation in place of the actual liquid viscosity, μL :
where the ``acoustic" viscosity, μA, is given by
......(4.13) where cL is the velocity of sound in the liquid. The ``thermal'' viscosity, μT, follows from the same analysis as was used to obtain the effective polytropic exponent in the preceding section and yields
......(4.14) where
......(4.15) is given by Equation 4.12.
The relative magnitudes of the three components of damping (or ``effective" viscosity) can be quite different for different bubble sizes or radii, RE. This is illustrated by the data for air bubbles in water at 20°C and atmospheric pressure that is taken from Chapman and Plesset (1971) and reproduced as Figure 4.5. Note that the viscous component dominates for very small bubbles, the thermal component is dominant for most bubbles of practical interest, and the acoustic component only dominates for bubbles larger than about 1cm.
Figure 4.5 Bubble damping components and the total damping as a function of the equilibrium bubble radius, RE, for water. Damping is plotted as an ``effective" viscosity, μE, nondimensionalized as shown (from Chapman and Plesset 1971).
The preceding sections assume that the perturbation in the bubble radius,
, is sufficiently small so that the linear approximation holds. However, as Plesset and Prosperetti (1977) have detailed in their review of the subject, single bubbles exhibit a number of interesting and important nonlinear phenomena. When a liquid that will inevitably contain microbubbles is irradiated with sound of a given frequency, ω, the nonlinear response results in harmonic dispersion, which not only produces harmonics with frequencies that are integer multiples of ω (superharmonics) but, more unusually, subharmonics with frequencies less than ω of the form mω/n where m and n are integers. Both the superharmonics and subharmonics become more prominent as the amplitude of excitation is increased. The production of subharmonics was first observed experimentally by Esche (1952), and possible origins of this nonlinear effect were explored in detail by Noltingk and Neppiras (1950, 1951), Flynn (1964), Borotnikova and Soloukin (1964), and Neppiras (1969), among others. Neppiras (1969) also surmised that subharmonic resonance could evolve into transient cavitation. These analytical and numerical investigations use numerical solutions of the Rayleigh-Plesset equation to explore the nonlinear characteristics of a single bubble excited by an oscillating pressure with a single frequency, ω. As might be expected, different kinds of response occur depending on whether ω is greater or less than the natural frequency of the bubble, ωN. Figure 4.6 presents two examples of the kinds of response encountered, one for ω<ωN and the other for ω>ωN. Note the presence of subharmonics in both cases.
![]()
Figure 4.6 Numerically computed examples of the steady nonlinear radial oscillations of a bubble excited by the single-frequency pressure oscillations shown at the top of each graph. Top: Subresonant excitation at 83.4kHz or ω/ωN=0.8 with an amplitude, =0.33bar. Bottom: Superresonant excitation of a bubble of mean radius 26μm at 191.5kHz or ω/ωN=1.8 with an amplitude
=0.33bar. Adapted from Flynn (1964).
Lauterborn (1976) examined numerical solutions for a large number of different excitation frequencies and was able to construct frequency response curves of the kind shown in Figure 4.7. Notice the progressive development of the peak responses at subharmonic frequencies as the amplitude of the excitation is increased. Nonlinear effects not only create these subharmonic peaks but also cause the resonant peaks (both the main resonance near ω/ωN=1 and the subharmonic resonances) to be skewed to the left, creating the discontinuities indicated by the dashed vertical lines. These correspond to bifurcations or sudden transitions between two valid solutions, one with a much larger amplitude than the other. Prosperetti (1977a) has provided a theoretical analysis of these transitions.
Figure 4.7 Numerically computed amplitudes of radial oscillation of a bubble of radius 1μm in water at a mean ambient pressure of 1bar plotted as a function of ω/ωN for various amplitudes of oscillation,(in bar), as shown on the left. The numbers above the peaks indicate the order of the resonance, m/n. Adapted from Lauterborn (1976).
When the amplitudes of oscillation are large, there are no simple analytical methods available, and one must resort to numerical calculations such as those of Lauterborn (1976) in order to investigate the phenomena that result from nonlinearity. However, while the amplitudes are still fairly small, it is valid to use an expansion technique to investigate weakly nonlinear effects. Here we shall retain only terms that are quadratic in the oscillation amplitude; cubic and higher order terms are neglected.
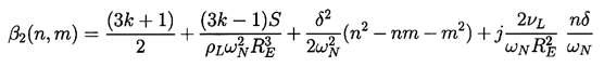
To illustrate weakly nonlinear analysis and the frequency dispersion that results from this procedure, Equations 4.1 and 4.2 are rewritten as
......(4.16) where nδ, n=1 to N, represents a discretization of the frequency domain. When these are substituted into Equation 2.27, all cubic or higher order terms are neglected, and the coefficients of the time-dependent terms are gathered together, the result is the following nonlinear version of Equation 4.3 (Kumar and Brennen 1993):
......(4.17) where
......(4.18) denotes the complex conjugate of
and
......(4.19) 
......(4.20) Given the fluid and bubble characteristics, Equation 4.18 may be solved iteratively to find
......(4.21) N given
N and the parameters, ν/ωNRE2, S/ρLωN2RE3, k, and δ. The value of N should be large enough to encompass all the harmonics with significant amplitudes.
We shall first examine the characteristics of the radial oscillations that are caused by a single excitation frequency. It is clear from the form of Equation 4.18 that, in this case, the only non-zero
N occur at frequencies that are integer multiples of the excitation frequency. Consequently, for this class of problems we may chose δ to be the excitation frequency; then
1 is the amplitude of that excitation and
N=0 for n ≠ 1. Figure 4.8 provides two comparisons between the weakly nonlinear solutions and more exact numerical integrations of the Rayleigh-Plesset equation. Clearly these will diverge as the amplitude of oscillation is increased; nevertheless the examples in Figure 4.8 show that the weakly nonlinear solutions are qualitatively valuable.
![]()
Figure 4.8 Two comparisons between weakly nonlinear solutions and more exact numerical calculations. The parameters are νL/ωNRE2=0.01, S/ρLωN2RE3=0.1, k=1.4, and the excitation frequency is ωN /3. The upper figure has a dimensionless excitation amplitude, 1/ρLωN2RE2, of 0.04 while the lower figure has a value of 0.08.
Figure 4.9 presents examples of the values for |
N| for three different amplitudes of excitation and demonstrates how the harmonics become more important as the amplitude increases. In this example, the frequency of excitation is ωN/6; the prominence of harmonics close to the natural frequency is characteristic of all solutions in which the excitation frequency is less than ωN.
![]()
Figure 4.9 Example of the magnitude of the harmonics of radial motion, |φN|, from Equation 4.18 with νL/ωNRE2=0.01, S/ρLωN2RE3=0.1, k=1.4, an excitation frequency of ωN/6, and three amplitudes of excitation, 1/ρLωN2RE2, as indicated. The connecting lines are for visual effect only.
Weakly nonlinear solutions can also be used to construct frequency response spectra similar to those due to Lauterborn (1976) described in the preceding section. Figure 4.10 includes examples of such frequency response spectra obtained by plotting the maximum possible deviation from the equilibrium radius, (Rmax-RE)/RE, against the excitation frequency. For convenience we estimate (Rmax-RE)/RE as
Clearly the weakly nonlinear solutions exhibit subharmonic resonances similar to those seen in the more exact solutions like those of Lauterborn (1976). However, they lack some of the finer detail such as the skewing of the resonant peaks that produces the sudden jumps in the response at some subresonant frequencies.
......(4.22) 
Figure 4.10 Example of frequency response spectra from Equation 4.18 with νL/ωNRE2=0.01, S/ρLωN2RE3=0.1, k=1.4, and three different excitation amplitudes,1/ρLωN2RE2, of 0.1 (dotted line), 0.2 (dashed line), and 0.3 (solid line).
The advantages of the weakly nonlinear analyses become more apparent when dealing with problems of more complex geometry or multiple frequencies of excitation. It is particularly useful in studying the interactions between bubbles in bubble clouds, a subject that is discussed in Chapter 6.
In recent years, the modern methods of nonlinear dynamical systems analysis have led to substantial improvement in the understanding of the nonlinear behavior of bubbles and of clouds of bubbles. Lauterborn and Suchla (1984) seem to have been the first to explore the bifurcation structure of single bubble oscillations. They constructed the bifurcation diagrams and strange attractor maps that result from a compressible Rayleigh-Plesset equation similar to Equation 3.1. Among the phenomena obtained was a period doubling sequence of a periodic orbit converging to a strange attractor. Subsequent studies by Smereka, Birnir, and Banerjee (1987), Parlitz et al. (1990), and others have provided further information on the nature of these chaotic, nonlinear oscillations of a single, spherical bubble. It remains to be seen how far real bubble systems that involve departures from spherical symmetry and from the Rayleigh-Plesset equation adhere to these complex dynamical behaviors.
In Section 6.10, we shall explore the linear, dynamic behavior of a cloud of bubbles and will find that such clouds exhibit their own characteristic dynamics and natural frequencies. The nonlinear, chaotic behavior of clouds of bubbles have also been recently examined by Smereka and Banerjee (1988) and Birnir and Smereka (1990), and these studies reveal a parallel system of bifurcations and strange attractors in the oscillations of bubble clouds.
4.8 THRESHOLD FOR TRANSIENT CAVITATION
We now turn to one of the topics raised in the introduction to this chapter: the distinction between those circumstances in which one would expect stable acoustic cavitation and those in which transient acoustic cavitation would occur. This issue was first addressed by Noltingk and Neppiras (1950, 1951) and is reviewed by Flynn (1964) and Young (1989), to which the reader is referred for more detail.
We consider a bubble of equilibrium size, RE, containing a mass of gas, mG, and subjected to a mean ambient pressure,
∞, with a superimposed oscillation of frequency, ω, and amplitude,
(see Equations 4.1 and 4.2). The first step in establishing the criterion is accomplished by the static stability analysis of Section 2.5. There we explored the stability of a bubble when the pressure far from the bubble was varied and identified a critical size, RC, and a critical threshold pressure, p∞c, which, if reached, would lead to unstable bubble growth and therefore, in the present context, to transient cavitation. The added complication here is that there is only a finite time during each cycle during which growth can occur, so one must address the issue of whether or not that time is sufficient for significant unstable growth.
The issue is determined by the relationship between the radian frequency, ω, of the imposed oscillations and the natural frequency, ωN, of the bubble. If ω « ωN, then the liquid inertia is relatively unimportant in the bubble dynamics and the bubble will respond quasistatically. Under these circumstances the Blake criterion (see Section 2.5) will hold. Denoting the critical amplitude at which transient cavitation will occur by
C, it follows that the critical conditions will be reached when the minimum instantaneous pressure, (
∞-
), just reaches the critical Blake threshold pressure given by Equation 2.45. Therefore
On the other hand, if ω » ωN, the issue will involve the dynamics of bubble growth since inertia will determine the size of the bubble perturbations. The details of this bubble dynamic problem have been addressed by Flynn (1964) and convenient guidelines are provided by Apfel (1981). Following Apfel's construction, we note that a neccessary but not sufficient condition for transient cavitation is that the ambient pressure, p∞, fall below the vapor pressure for part of the oscillation cycle. The typical negative pressure will, of course, be given by (
......(4.23) ∞-
). Moreover, the pressure will be negative for some fraction of the period of oscillation; that fraction is solely related to the parameter, β= (1-
∞/
) (Apfel 1981). Then, assuming that the quasistatic Blake threshold has been exceeded, the bubble growth rate will be given roughly by the asymptotic growth rate of Equation 2.33. Combining this with the time available for growth, the typical maximum bubble radius, RM, will be given by
where we have neglected the vapor pressure, pV. In this expression the function f(β) accounts for some of the details such as the fraction of the half-period, π/ω, for which the pressure is negative. Apfel (1981) finds
......(4.24) The final step in constructing the criterion for ω » ωN is to argue that transient cavitation will occur when RM→2RE and, using this, the critical pressure becomes
......(4.25) For more detailed analyses the reader is referred to the work of Flynn (1964) and Apfel (1981).
......(4.26) 
We now shift attention to a different nonlinear effect involving the mass transfer of dissolved gas between the liquid and the bubble. This important nonlinear diffusion effect occurs in the presence of an acoustic field and is known as ``rectified mass diffusion'' (Blake 1949a). Analytical models of this phenomenon were first put forward by Hsieh and Plesset (1961) and Eller and Flynn (1965), and reviews of the subject can be found in Crum (1980, 1984) and Young (1989).
Consider a gas bubble in a liquid with dissolved gas as described in Section 2.6. Now, however, we add an oscillation to the ambient pressure. Gas will tend to come out of solution into the bubble during that part of the oscillation cycle when the bubble is larger than the mean because the partial pressure of gas in the bubble is then depressed. Conversely, gas will redissolve during the other half of the cycle when the bubble is smaller than the mean. The linear contributions to the mass of gas in the bubble will, of course, balance so that the average gas content in the bubble will not be affected at this level. However, there are two nonlinear effects that tend to increase the mass of gas in the bubble. The first of these is due to the fact that release of gas by the liquid occurs during that part of the cycle when the surface area is larger, and therefore the influx during that part of the cycle is slightly larger than the efflux during the part of the cycle when the bubble is smaller. Consequently, there is a net flux of gas into the bubble which is quadratic in the perturbation amplitude. Second, the diffusion boundary layer in the liquid tends to be stretched thinner when the bubble is larger, and this also enhances the flux into the bubble during the part of the cycle when the bubble is larger. This effect contributes a second, quadratic term to the net flux of gas into the bubble. Recent analyses, which include all of the contributing nonlinear terms (see Crum 1984 or Young 1989), yield the following modification to the steady mass diffusion result given previously in Equation 2.56 (see Section 2.6):
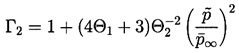
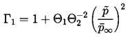
which is identical with Equation 2.56 except for the Γ terms, which differ from unity by terms that are quadratic in the fluctuating pressure amplitude,
......(4.27) :
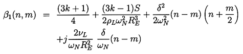
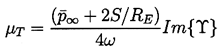
......(4.28) 
......(4.29) where
......(4.30) 
......(4.31) 
......(4.32) where one must choose an appropriate μ to represent the total effective damping (see Section 4.4) and an appropriate effective polytropic constant, k (see Section 4.3). Valuable contributions to the evolution of these results were made by Hsieh and Plesset (1961), Eller and Flynn (1965), Safar (1968), Eller (1969, 1972, 1975), Skinner (1970), and Crum (1980, 1984), among others.
......(4.33) Strasberg (1961) first explored the issue of the conditions under which a bubble would grow due to rectified diffusion. Clearly, the sign of the bubble growth rate predicted by Equation 4.27 will be determined by the sign of the term
In the absence of oscillations and surface tension, this leads to the conclusion that the bubble will grow when c∞>cS and will dissolve when the reverse is true. The term involving surface tension causes bubbles in a saturated solution (cS=c∞) to dissolve but usually has only a minor effect in real applications. However, in the presence of oscillations the term Γ3/Γ2 will decrease below unity as the amplitude,
......(4.34) , is increased. This causes a positive increment in the growth rate as anticipated earlier. Even in a subsaturated liquid for which c∞<cS this increment could cause the sign of dR/dt to change and become positive. Thus Equation 4.27 allows us to quantify the bubble growth rate due to rectified mass diffusion.
If an oscillating pressure is applied to a fluid consisting of a subsaturated or saturated liquid and seeded with microbubbles of radius, RE, then Expression 4.34 also demonstates that there will exist a certain critical or threshold amplitude above which the microbubbles will begin to grow by rectified diffusion. This threshold amplitude,
C, will be large enough so that the value of Γ3/Γ2 is sufficiently small to make Expression 4.34 vanish. From Equations 4.29 to 4.33 the threshold amplitude becomes
......(4.35) Typical experimental measurements of the rates of growth and of the threshold pressure amplitudes are shown in Figures 4.11 and 4.12. The data are from the work of Crum (1980, 1984) and are for distilled water that is saturated with air. It is clear that there is satisfactory agreement for the cases shown. However, Crum also observed significant discrepancies when a surface-active agent was added to the water to change the surface tension.
![]()
Figure 4.11 Examples from Crum (1980) of the growth (or shrinkage) of air bubbles in saturated water (S=68dynes/cm) due to rectified diffusion. Data is shown for four pressure amplitudes as shown. The lines are the corresponding theoretical predictions. 
![]()
Figure 4.12 Data from Crum (1984) of the threshold pressure amplitude for rectified diffusion for bubbles in distilled water (S=68dynes/cm) saturated with air. The frequency of the sound is 22.1kHz. The line is the prediction of Equation 4.35. Finally, we note again that most of the theories assume spherical symmetry and that departure from sphericity could alter the diffusion boundary layer in ways that could radically affect the mass transfer process. Furthermore, there is some evidence that acoustic streaming induced by the excitation can also cause disruption of the diffusion boundary layer (Elder 1959, Gould 1966).
Before leaving the subject of rectified diffusion, it is important to emphasize that the bubble growth that it causes is very slow compared with most of the other growth processes considered in the last two chapters. It is appropriate to think of it as causing a gradual, quasistatic change in the equilibrium size of the bubble, RE. However, it does provide a mechanism by which very small and stable nuclei might grow sufficiently to become nuclei for cavitation. It is also valuable to observe that the Blake threshold pressure, p∞c, increases as the mass of gas in the bubble, mG, increases (see Equation 2.46). Therefore, as mG increases, a smaller reduction in the pressure is necessary to create an unstable bubble. That is to say, it becomes easier to cavitate the liquid.
4.10 BJERKNES FORCES
A different nonlinear effect is the force experienced by a bubble in an acoustic field due to the finite wavelength of the sound waves. The spatial wavenumber will be denoted by k=ω/cL. The presence of such waves implies an instantaneous pressure gradient in the liquid. To model this we substitute
into Equation 4.1 where the constant
......(4.36) * is the amplitude of the sound waves and xi is the direction of wave propagation. Like any other pressure gradient, this produces an instantaneous force, Fi, on the bubble in the xi direction given by
Since both R and dp∞/dxi contain oscillating components, it follows that the combination of these in Equation 4.37 will lead to a nonlinear, time-averaged component in Fi . Substituting Equations 4.36, 4.1, and 4.2 into 4.37, this time-average force becomes
......(4.37) where the radial oscillation amplitude,
......(4.38) , is given by Equation 4.3 so that
If ω is not too close to ωN, a useful approximation is
......(4.39) and substituting this into Equation 4.38 yields
......(4.40) This is known as the primary Bjerknes force since it follows from some of the effects discussed by that author (Bjerknes 1909). The effect was first properly identified by Blake (1949b).
......(4.41) The form of the primary Bjerknes force produces some interesting bubble migration patterns in a stationary sound field. Note from Equation 4.41 that if the excitation frequency, ω, is less than the natural frequency, ωN, (or RE<RR) then the primary Bjerknes force will cause migration of the bubbles away from the nodes in the pressure field and toward the antinodes (points of largest pressure amplitude). On the other hand, if ω>ωN (or RE>RR) the bubbles will tend to migrate from the antinodes to the nodes. A number of investigators (for example, Crum and Eller 1970) have observed the process by which small bubbles in a stationary sound field first migrate to the antinodes, where they grow by rectified diffusion until they are larger than the resonant radius. They then migrate back to the nodes, where they may dissolve again when they experience only small pressure oscillations. Crum and Eller (1970) and have shown that the translational velocities of migrating bubbles are compatible with the Bjerknes force estimates given above.
Finally, it is important to mention one other nonlinear effect. An acoustic field can cause time-averaged or mean motions in the fluid itself. These are referred to as acoustic streaming. The term microstreaming is used to refer to such motions near a small bubble. Generally these motions take the form of circulation patterns and, in a classic paper, Elder (1959) observed and recorded the circulating patterns of microstreaming near the surface of small gas bubbles in liquids. As stated earlier, these circulation patterns could alter the processes of heat and mass diffusion to or from a bubble and therefore modify phenomena such as rectified diffusion.
- Apfel, R.E. (1981). Acoustic cavitation prediction. J. Acoust. Soc. Am., 69, 1624--1633.
 - Birnir, B. and Smereka, P. (1990). Existence theory and invariant manifolds of bubble clouds. Comm. Pure Appl. Math., 43, 363--413.
 - Bjerknes, V. (1909). Die Kraftfelder. Friedrich Vieweg and Sohn, Braunsweig.
 - Blake, F.G. (1949a). The onset of cavitation in liquids. Acoustics Res. Lab., Harvard Univ., Tech. Memo. No. 12.
 - Blake, F.G. (1949b). Bjerknes forces in stationary sound fields. J. Acoust. Soc. Am., 21, 551.
 - Borotnikova, M.I. and Soloukin, R.I. (1964). A calculation of the pulsations of gas bubbles in an incompressible liquid subject to a periodically varying pressure. Sov. Phys. Acoust., 10, 28--32.
 - Chapman, R.B. and Plesset, M.S. (1971). Thermal effects in the free oscillation of gas bubbles. ASME J. Basic Eng., 93, 373--376.
 - Cole, R.H. (1948). Underwater explosions. Princeton Univ. Press, reprinted by Dover in 1965.
 - Crum, L.A. (1979). Tensile strength of water. Nature, 278, 148--149.
 - Crum, L.A. (1980). Measurements of the growth of air bubbles by rectified diffusion. J. Acoust. Soc. Am., 68, 203--211.
 - Crum, L.A. (1983). The polytropic exponent of gas contained within air bubbles pulsating in a liquid. J. Acoust. Soc. Am., 73, 116--120.
 - Crum, L.A. (1984). Rectified diffusion. Ultrasonics, 22, 215--223.
 - Crum, L.A. and Eller, A.I. (1970). Motion of bubbles in a stationary sound field. J. Acoust. Soc. Am., 48, 181--189.
 - Devin, C. (1959). Survey of thermal, radiation, and viscous damping of pulsating air bubbles in water. J. Acoust. Soc. Am., 31, 1654--1667.
 - Elder, S.A. (1959). Cavitation microstreaming. J. Acoust. Soc. Am., 31, 54--64.
 - Eller, A.I. and Flynn, H.G. (1965). Rectified diffusion during non-linear pulsation of cavitation bubbles. J. Acoust. Soc. Am., 37, 493--503.
 - Eller, A.I. (1969). Growth of bubbles by rectified diffusion. J. Acoust. Soc. Am., 46, 1246--1250.
 - Eller, A.I. (1972). Bubble growth by diffusion in an 11kHz sound field. J. Acoust. Soc. Am., 52, 1447--1449.
 - Eller, A.I. (1975). Effects of diffusion on gaseous cavitation bubbles. J. Acoust. Soc. Am., 57, 1374-1378.
 - Esche, R. (1952). Untersuchung der Schwingungskavitation in Flüssigkeiten. Acustica, 2, AB208--AB218.
 - Flynn, H.G. (1964). Physics of acoustic cavitation in liquids. Physical Acoustics, 1B. Academic Press.
 - Gould, R.K. (1966). Heat transfer across a solid-liquid interface in the presence of acoustic streaming. J. Acoust. Soc. Am., 40, 219--225.
 - Hsieh, D.-Y. and Plesset, M.S. (1961). Theory of rectified diffusion of mass into gas bubbles. J. Acoust. Soc. Am., 33, 206--215.
 - Knapp, R.T., Daily, J.W., and Hammitt, F.G. (1970). Cavitation. McGraw-Hill, New York.
 - Kumar, S. and Brennen, C.E. (1993). Some nonlinear interactive effects in bubbly cavitation clouds. J. Fluid Mech., 253, 565--591.
 - Lauterborn, W. (1976). Numerical investigation of nonlinear oscillations of gas bubbles in liquids. J. Acoust. Soc. Am., 59, 283--293.
 - Lauterborn, W. and Suchla, E. (1984). Bifurcation superstructure in a model of acoustic turbulence. Phys. Rev. Lett., 53, 2304--2307.
 - Neppiras, E.A. (1969). Subharmonic and other low-frequency emission from bubbles in sound-irradiated liquids. J. Acoust. Soc. Am., 46, 587--601.
 - Neppiras, E.A. (1980). Acoustic cavitation. Phys. Rep., 61, 160--251.
 - Neppiras, E.A. and Noltingk, B.E. (1951). Cavitation produced by ultrasonics: theoretical conditions for the onset of cavitation. Proc. Phys. Soc., London, 64B, 1032--1038.
 - Noltingk, B.E. and Neppiras, E.A. (1950). Cavitation produced by ultrasonics. Proc. Phys. Soc., London, 63B, 674--685.
 - Parlitz, U., Englisch, V., Scheffczyk, C., and Lauterborn, W. (1990). Bifurcation structure of bubble oscillators. J. Acoust. Soc. Am., 88, 1061--1077.
 - Pfriem, H. (1940). Akust. Zh., 5, 202--212.
 - Plesset, M.S. and Prosperetti, A. (1977). Bubble dynamics and cavitation. Ann. Rev. Fluid Mech., 9, 145--185.
 - Prosperetti, A. (1974). Nonlinear oscillations of gas bubbles in liquids: steady state solutions. J. Acoust. Soc. Am., 56, 878--885.
 - Prosperetti, A. (1977a). Application of the subharmonic threshold to the measurement of the damping of oscillating gas bubbles. J. Acoust. Soc. Am., 61, 11--16.
 - Prosperetti, A. (1977b). Thermal effects and damping mechanisms in the forced radial oscillations of gas bubbles in liquids. J. Acoust. Soc. Am., 61, 17--27.
 - Prosperetti, A. (1982). Bubble dynamics: a review and some recent results. Appl. Sci. Res., 38, 145--164.
 - Prosperetti, A. (1984). Bubble phenomena in sound fields: part one and part two. Ultrasonics, 22, 69--77 and 115--124.
 - Prosperetti, A., Crum, L.A. and Commander, K.W. (1988). Nonlinear bubble dynamics. J. Acoust. Soc. Am., 83, 502--514.
 - Safar, M.H. (1968). Comments on papers concerning rectified diffusion of cavitation bubbles. J. Acoust. Soc. Am., 43, 1188--1189.
 - Skinner, L.A. (1970). Pressure threshold for acoustic cavitation. J. Acoust. Soc. Am., 47, 327--331.
 - Smereka, P., Birnir, B. and Banerjee, S. (1987). Regular and chaotic bubble oscillations in periodically driven pressure fields. Phys. Fluids, 30, 3342--3350.
 - Smereka, P. and Banerjee, S. (1988). The dynamics of periodically driven bubble clouds. Phys. Fluids, 31, 3519--3531.
 - Strasberg, M. (1961). Rectified diffusion: comments on a paper of Hsieh and Plesset. J. Acoust. Soc. Am., 33, 359.
 - Young, F.R. (1989). Cavitation. McGraw-Hill Book Company.
 
Last updated 12/1/00.
Christopher E. Brennen